全国小姐论坛最新消息,栖凤楼品茶app,老九品茶楼凤楼论坛官网17c,风楼阁全国信息2025登录

产品新闻

产品新闻

NMN的安全性实验

2023-09-04 15:29:13 古特生物

烟酰胺腺嘌呤二核苷酸 (NAD + ) 水平的增加可缓解与年龄相关的疾病进展并促进健康预期寿命。

NAD +已被研究作为激活沉默调节蛋白家族成员所需的辅酶,其具有抗衰老功能。在sirtuin家族的成员中,sirtuin 1 (SIRT1)已被研究作为一种通过葡萄糖代谢、胰岛素分泌、脂质代谢、血管生成和消除细胞衰老的因子。

多项研究表明 NAD +通过摄入烟酰胺单核苷酸NMN)可以有效补充水平;此外,其口服摄入的安全性已在最近的临床试验中得到证实。

在一项关于NMN的研究中,米尔斯等人给5-17个月大的小鼠口服300 mg/kg NMN一年,尽管饮食摄入量高于对照组,但体重减轻了9%;他们发现,不仅与衰老相关的胆固醇水平升高受到抑制,而且骨骼肌、肝脏和脂肪中与衰老相关的基因表达也没有显着变化。最近,该小组在健康个体中进行了口服NMN的临床试验,证明NMN在血液中安全代谢,不影响糖代谢、脂代谢、肝脏、肾脏和白细胞。

与口服相比,静脉注射 NMN 对人体的有效性和安全性仍不清楚。因此,研究人员在10名健康志愿者身上验证了其安全性。

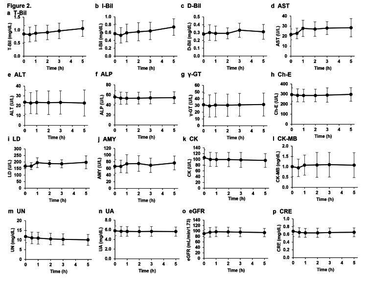
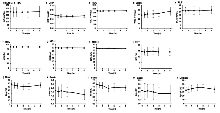
研究者研究了静脉注射 NMN 后针对肝脏、心脏、胰腺和肾脏的代谢标志物的药代动力学,因为静脉注射药物可以快速到达全身器官,即使口服给药是安全的,也可能会给特定器官带来负担。静脉注射 NMN 后 0.5、1、2、3 和 5 小时测量的血浆中肝脏、胰腺、心脏和肾脏相关代谢标志物水平与给药前相比没有显着差异。此外,对血液中红细胞、白细胞、血小板和相关标志物的分析显示,静脉注射NMN之前和之后0.5、1、2、3和5小时没有显着变化。

包含图片、插图等的外部文件。对象名称为 cureus-0014-00000028812-i03.jpg

▲静脉注射 NMN 对肝脏、胰腺、心脏和肾脏代谢标志物的影响

包含图片、插图等的外部文件。对象名称为 cureus-0014-00000028812-i04.jpg

▲静脉注射 NMN 对免疫标记物水平和血细胞的影响

静脉注射 NMN 后 0.5、1、2、3 和 5 小时测量的 NAD+/NADH 血液水平显示,与给药前相比,0.5 至 3 小时内 NAD +水平显着增加和总 NAD +水平显着增加。

包含图片、插图等的外部文件。对象名称为 cureus-0014-00000028812-i05.jpg

▲NMN 给药对 NAD+ 水平增加和 SIRT1 激活的影响

静脉注射NMN不影响心电图、脉搏和血压,也不影响肝脏、心脏、胰腺和肾脏的代谢标志物。这些结果表明静脉注射 NMN 对人类是安全且有益的。此外,NMN 给药显着增加了血液 NAD +水平,而不损害血细胞,并显着降低血液甘油三酯(TG)水平。这些发现表明,静脉注射 NMN 可能有助于预防和治疗与 TG 水平升高相关的疾病,例如脂肪肝和糖尿病。

*特别说明 - 本文仅作资讯科普用途,不能代替医生的治疗诊断和建议,不应被视为对所涉医疗产品的推荐或功效证明。涉及疾病诊断、治疗、康复相关的,请务必前往专业医疗机构就诊,寻求专业意见。