全国小姐论坛最新消息,栖凤楼品茶app,老九品茶楼凤楼论坛官网17c,风楼阁全国信息2025登录

产品新闻

产品新闻

产品介绍 - 胞磷胆碱钠——被广泛应用的神经保护剂

2022-02-18 17:00:46 古特生物

古特生物

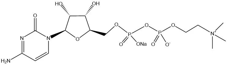
胞磷胆碱钠(C14H25N4NaO11P2)由核糖、胞嘧啶、磷酸和胆碱等构成,作为一种内生化合物,胞磷胆碱钠是细胞膜磷脂质合成的重要媒介,也是合成乙酰胆碱的外在来源,乙酰胆碱是重要的神经递质,在核苷酸代谢中起着非常重要的作用。

古特生物

01、1956年Geiger在动物试验中发现胞磷胆碱钠能使脑损伤恢复


02、1957年Kennedy确定了其分子结构并经研究证实其在脑磷脂质的合成中至关重要


03、1961年日本武田制药公司开发生产出此产品


04、1983年国内研制成功并于1984年开始批准生产


05、1988年被纳入中国药典


胞磷胆碱钠作为神经?;ぜ粒梢钥焖傩薷词芩鹕窬赴?,增加大脑血流量,并能够促进大脑的能量代谢,改善脑循环,在治疗脑外伤、脑卒中等脑部与神经相关的疾病疗效肯定,是目前在临床上用于治疗脑疾病中销量最好的药物。

古特生物

胞磷胆碱钠结构式


古特生物

古特生物

胞磷胆碱钠是脑代谢激活剂,能够促进脑细胞呼吸,改善脑功能,促进苏醒,降低脑血管阻力,不仅可以治疗颅脑损伤和脑血管意外所引起的神经系统疾病,也可用于帕金森综合征和老年性痴呆症的辅助治疗,对急性中风、外科手术后引起的神经损伤、意识障碍等有明显的临床治疗效果,对弱视、斜视、青光眼也有改善的作用。


01脑部疾病


胞磷胆碱钠是磷脂酰胆碱生物合成的中间产物,在脑缺血后,胞磷胆碱钠增加细胞膜的稳定性,增加谷胱甘肽水平,抑制磷脂水解和花生四烯酸生成,从而限制了氧自由基和脂质过氧化物的产生。同时该药还可增加大脑血流量,并促进大脑的能量代谢,改善脑循环,从而起到神经保护作用。

古特生物

实验表明在重型颅脑损伤开颅手术之初使用大剂量胞磷胆碱钠,能较好的防止脑肿胀、脑膨出以减少脑组织的继发性损害。


胞磷胆碱钠还可以改变脑膜生理功能,改善脑血管张力,增加脑血流量和耗氧量,促进意识清醒,改善脑卒中所引起的偏瘫症状。


02神经系统疾病


胞磷胆碱钠与二脂酰甘油经酶催化,生成磷脂酰胆碱,后者构成双层脂膜。当神经细胞膜损伤时,外源性胞磷胆碱不断补充原料,合成磷脂酰胆碱,能修复神经细胞膜,阻止周围神经细胞凋亡,促进周围神经再生,进而改善面神经病理损伤,用以治疗面神经炎。

古特生物

胞磷胆碱钠含有促进神经功能恢复的神经营养物质,对交感神经细胞有刺激生长作用,促进神经细胞的修复,降低大脑血管阻力,增加大脑血流量,增加病灶处血液供给。在突发性耳聋、妊娠剧吐、低龄弱视等疾病治疗中也显示出积极的治疗作用。


03帕金森综合症


实验证明胞磷胆碱钠辅助治疗帕金森患者可以提高治疗效果,有效改善患者神经认知功能,胞磷胆碱钠可水解产生胆碱和胞苷,且胆碱是卵磷脂合成过程中重要的辅酶,而卵磷脂是细胞膜的重要组成部分,当胆碱经过乙?;晌阴5钍?,细胞内的神经递质乙酰胆碱合成将增多,通过兴奋胆碱能神经使中枢神经系统功能的完整性得到很好的?;?,从而增强大脑皮层功能减轻神经功能及认知障碍。

古特生物

此外,胞磷胆碱钠可以提高线粒体ATP酶以及膜NaK-ATP酶的活性,稳定神经细胞膜且保证神经元突触结构的完整性,减少神经细胞的凋亡。


04青光眼


有实验研究证明,胞磷胆碱钠能增强视网膜多巴胺递质的传递,并通过影响视网膜儿茶酚胺的水平来加强青光眼或弱视患者的视路功能,阻止视野恶化,从而改善患者的生活质量。

古特生物


古特生物

关于胞磷胆碱钠制备方法的报导很多,但大致可归纳为三种途径。一种是有机化学合成法,该法存在产品难与缩合剂分离,不适合药用,反应转化率低,副产物多,成本高,环境污染严重等问题;一种是微生物发酵法,利用酵母、大肠杆菌等工程菌进行发酵,该法存在产物浓度低,产率不稳定等问题;还有一种是酶促合成法,利用酶进行生物合成反应,该方法绿色环保,是目前开发的热点。

古特生物

市面上胞磷胆碱钠主要有三种产品表现形式:胞磷胆碱钠片、胞磷胆碱钠胶囊以及注射用胞磷胆碱钠。


胞磷胆碱钠这款药物国内有四家主要生产商,分别为齐鲁制药、华润双鹤利民药业、福建省闽东力捷迅药业和梓橦宫。


胞磷胆碱钠胶囊(思考林):用于治疗颅脑损伤或脑血管意外所引起的神经系统的后遗症。(齐鲁制药)


胞磷胆碱钠片(诺百益):用于治疗颅脑损伤或脑血管意外所引起的神经系统的后遗症。(华润双鹤药业)


胞磷胆碱钠片(欣可来):用于治疗颅脑损伤或脑血管意外所引起的神经系统的后遗症。(梓橦宫)


注射用胞磷胆碱钠:用于急性颅脑外伤和颅脑术术后意识障碍。(力捷迅药业)


胞磷胆碱钠的给药途径有口服、静脉滴注和肌肉注射,口服给药事实上能够完全吸收,因此其生物利用度和静脉给药几乎相同,胞磷胆碱钠一旦被吸收,就可以广泛的分布于身体的各个部位,它可以穿过血脑屏障进入中枢神经系统。

*特别说明 - 本文仅作资讯科普用途,不能代替医生的治疗诊断和建议,不应被视为对所涉医疗产品的推荐或功效证明。涉及疾病诊断、治疗、康复相关的,请务必前往专业医疗机构就诊,寻求专业意见。

标签: 胞磷胆碱钠,